Page 181 - Кулик В.В.
P. 181

181















































































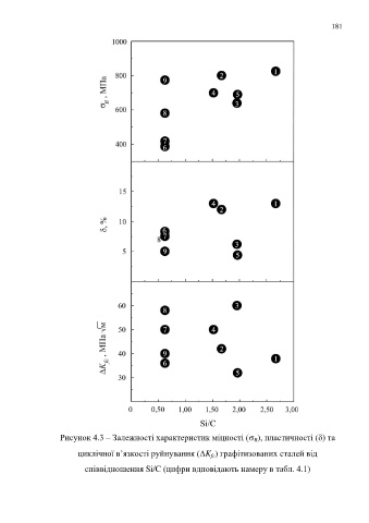
                    Рисунок 4.3 – Залежності характеристик міцності ( ), пластичності () та
                                                                                   B
                          циклічної в’язкості руйнування (K ) графітизованих сталей від
                                                                     fc
                            співвідношення Si/C (цифри вдповідають намеру в табл. 4.1)
   176   177   178   179   180   181   182   183   184   185   186